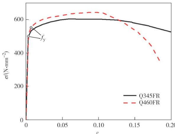
摘要:为研究耐火钢方钢管混凝土轴心受压柱的承载性能,设计并制作了6根耐火钢方钢管混凝土长柱并进行了轴压试验,研究了焊接残余应力、长细比、宽厚比、钢材强度等级对试件承载力及关键截面应变发展的影响规律;建立了考虑耐火钢焊接残余应力影响的有限元模型,基于验证后的模型开展了焊接残余应力、长细比及宽厚比对轴压承载性能的参数分析.研究结果表明:由于耐火钢方钢管焊接残余应力较普通钢小,耐火钢方钢管混凝土柱的稳定系数较普通钢方钢管混凝土柱高,且随着长细比增加,其差值呈先增大后减小的趋势.短柱趋于强度破坏,其极限承载力与钢管对混凝土的约束作用有关,宽厚比越小,约束效应带来的混凝土抗压强度提高幅度越大,稳定系数越大;而中长柱则因受二阶效应影响,约束效应不明显,稳定系数主要受焊接残余压应力影响,因此,宽厚比越大稳定系数越大.将试验与参数分析结果与国内外现行规范进行对比,我国规范及美国规范预测值分别低于参数分析结果 32% 和 9% ,欧洲规范预测值平均低于参数分析结果 7% ,预测结果精度最高.
摘要:为高效分析复杂钢结构在太阳辐射下的非均匀温度场,基于Grasshopper平台提出了一种复杂钢结构日照非均匀温度场的参数化分析方法,该方法可根据气象数据,考虑结构日照阴影效应,并结合型钢构件的简化温度计算方法,实现结构日照非均匀温度场的快速分析.为验证该方法的准确性,以深圳海能达全球总部大厦斜交网格钢结构为研究对象,收集了10d结构各监测点的实时温度和气象监测数据,结果表明计算值与实测值的日误差率均方根小于12.5% .最后将上述参数化分析结果转换为结构杆件的温度荷载用于施工过程仿真效应,研究结构在施工期间日照非均匀温度效应,并提出在设计和施工阶段减少温度效应的措施.
摘要:基于延性节点理念,提出一种采用低屈服点高延性连杆连接与钢牛腿搭接的预制混凝土梁柱延性节点,并通过拟静力往复荷载试验评估其抗震性能.设计制作了3个足尺试件,包括2个采用不同延性连杆构造的新型预制延性试件和1个现浇对比试件.通过对比3个试件的破坏形态、滞回性能及承载力等受力性能指标发现:新型预制延性节点较现浇节点屈服位移提高约 43% ,峰值荷载提高约 14% ,延性及承载能力均有所提高;其中节点核心区内预埋整体式延性杆锚块的节点,整体协调变形能力更优,位移延性及承载性能更佳.
摘要:建立基于子结构法的整体钢框架多尺度模型,利用Matlab软件模拟600s良态风以进行动力时程分析,运用等效结构应力法分析细部构造的疲劳特性,探究了立体车库风致疲劳危险点所在位置;分析了基于子结构法的多尺度模型研究整体结构的合理性;计算了翼缘对接方式、过渡区转折角度和梁柱节点悬臂段长度对结构疲劳寿命的影响.结果表明,立体车库风致疲劳危险位置在次顶层迎风面中榀梁柱节点的柱弱轴侧悬臂段与钢梁下翼缘对接焊缝边缘处;基于子结构法多尺度模型结构的计算结果与二阶实体单元模型吻合较好,符合工程精度要求;翼缘间以居中对齐方式焊接有效改善了对接焊缝应力集中,整体结构疲劳寿命随着过渡区转折角度与悬臂段长度的增加而增加.
摘要:本文提出了一种适用于正交胶合木结构的新型耗能角支架,综合了“软钢屈服”与“橡胶剪切变形”双重耗能优势.为研究新型耗能角支架的力学性能,对12个试件进行了单调加载和低周往复加载试验,总结了其典型的破坏模式,获得了其初始刚度、延性系数、等效黏滞阻尼比等力学性能;采用Abaqus软件建立了新型耗能角支架的弹塑性有限元模型,并基于验证后的数值模型开展了参数化分析.结果表明:新型耗能角支架的破坏模式主要包含钢桥屈服断裂、底座局部承压破坏和橡胶脱胶破坏三种,其中钢桥屈服断裂是主要破坏模式;各试件延性系数均大于9.6,等效黏滞阻尼比在 9%~26% 之间,表现出高延性和良好耗能能力;此外,参数化分析结果表明,耗能角支架的承载力与钢骨架厚度、软钢屈服强度、橡胶剪切模量及是否采用垫板呈正相关,而橡胶高度对耗能角支架承载力的影响较小.
摘要:盾构切桩过程中,合理的切桩推力和施工控制措施能有效控制桥桩变形,保障切桩过程的稳定与安全.依托北京地铁12号线某盾构切桩工程,基于摩尔-库仑强度理论,推导稳态切削时双面刃撕裂刀平直段的贯入力;由刀具表面接触应力分布建立稳态切削时双面刃撕裂刀圆弧段的贯入力模型.结合盾构切桩全过程数学模型,得到盾构切桩总推力计算方法,根据现场实测推力值验证盾构切桩总推力模型,分析纯切桩推力对桩基变形的影响;将纯切桩推力计算方法应用到智能管控平台搭建,配合盾构切桩过程中的控制措施,对桥梁墩台进行变形监测.监测结果表明:盾构左线切桩过河区间中桥梁墩台的最大竖向沉降为 8.48mm ,桥梁墩台的最大横向差异沉降为 1.4mm ,均在安全控制范围内.
摘要:为了探究terminal blend(TB)沥青与集料界面的相互作用行为,本文基于分子动力学模拟,利用MaterialsStudio软件构建基质沥青、TB改性沥青、TB复合SBS改性沥青(TB_SBS)以及TB复合EVA改性沥青(TB_EVA)与集料界面模型.通过结合能、黏附功、相对浓度分布以及接触角试验等手段,对上述4种沥青-集料界面进行综合评估.结果表明,胶粉、SBS和EVA这些改性剂显著提升基质沥青的黏附性能,TB_EVA在不同温度下与基质沥青的黏附功波动较TB_SBS明显,且在较低温度下黏附功提升更显著,较高温度时后者占据更大优势.分析原因可知,橡胶颗粒和EVA改性剂吸收轻质组分充分溶胀,影响沥青质和胶质的聚集分布状态,从而提高沥青与集料的浸润吸附能力和相互作用力.此外,TB_SBS在不同温度下黏附功均维持较高水平且黏附功变化范围不超过 2.5mJ/m2 ,TB_SBS表现出最佳的抗高温性能,是最具沥青-集料界面黏附潜力的沥青,推测SBS中极性较强的 S=0 基团吸附AS中的—OH基团及存在于BR中的氢原子,导致其与集料的黏附性显著提高,相关结论与接触角试验所得出的结果一致.尽管数量级和数值因温度和空间尺度差异而不同,但试验验证了模拟方法在预测沥青-集料界面黏附过程中的可靠性与合理性.
摘要:将淤泥弃土处理成流态固化土是其变废为宝、资源化利用的新途径.本研究评估了碱-硫酸根复合激发水泥基固化剂在淤泥流态固化土中的应用性能,通过响应面中心组合法(CCD),深入揭示了水固比和固化剂掺量对流动度、无侧限抗压强度和水稳系数的作用机制,并结合细观孔隙结构演化阐明其强化机理.研究结果表明,流动度随水固比和固化剂掺量的增加呈线性叠加提升趋势;水稳定性系数与水固比呈负相关关系,而与固化剂掺量呈正相关,但固化剂掺量的提升效应随掺量增加逐渐减弱;在强度发展规律方面,早期强度受水固比与固化剂掺量的协同作用控制,而中长期强度( ?7d) 则主要由固化剂掺量单一主导.降低水固比或提高固化剂掺量有助于固化土内部形成致密的凝胶网络结构,显著提升无侧限抗压强度.基于CCD法建立的模型预测值与试验值高度吻合( R2>0.94 ,验证了模型的可靠性.多目标优化结果表明,当水固比为0.87、固化剂掺量为 12.1% 时,流态固化土不仅满足路基工程基本要求:流动度 >80mm,28d 无侧限抗压强度 >1.0MPa. 水稳系数 ?0.8 ,而且各龄期强度也可得到充分发展.
摘要:为了更好分析磁极结构对永磁体利用率的影响以及实现板式电涡流阻尼器适应多向运动等情况,提出一种Halbach永磁体双向阵列结构,并对7种磁路结构方案开展参数对比分析.首先通过对比某一板式电涡流阻尼器的试验结果,验证了采用三维电磁场有限元瞬态分析方法仿真板式电涡流阻尼器阻尼性能的准确性.制作了一个Halbach循环阵列板式电涡流阻尼器,基于三维电磁有限元分析方法,与不同的磁路结构对比分析,研究了永磁体磁极对数、永磁体背铁、空气间隙、导体板等因素对板式电涡流阻尼力的影响.研究表明,Halbach双向阵列电涡流阻尼器在多向运动下能保持较好的耗能效率.通过分析仿真结果还发现,不同的板式电涡流永磁体方式存在相似的阻尼力速度梯度曲线,依靠曲线函数可在短时间内得出较为准确的板式电涡流阻尼器在不同相对速度下的阻尼力,可大幅提升板式电涡流阻尼力的计算效率.
摘要:为提升大跨储煤网壳结构的抗风性能,基于NURBS理论的参数化构形方法和代理模型技术,提出自由曲面网壳结构的气动外形优化方法.利用Grasshopper参数化平台和Fortran语言进行程序的二次开发,实现了设计参数调整、模型自动更新和气动响应计算的一体化联动处理,显著提高了优化设计的自动化程度.以NURBS曲线控制点为优化变量,位移响应极值为优化目标,建立了自由曲面网壳结构优化模型.在此基础上,对三心圆柱面和球面储煤网壳结构进行气动外形优化.结果表明:融合参数化建模和Kriging代理模型的气动外形优化方法,通过发掘结构合理的气动外形取得了显著优化效果; 0° 和 30° 风向下优化后柱壳结构的位移极值分别下降了 32% 和 18% ,球壳的位移极值下降了 12% ;优化后两种网壳结构的抗风性能均有所改善,且达到降低工程造价的目的,为大跨空间网壳结构的抗风设计选型提供新的途径.
摘要:现行抗风规范采用的单脊梁模型、双主梁模型和三主梁模型,均将斜拉索锚固点与主梁刚度中心置于同一水平面,忽略了斜拉索在主梁上锚固偏心引起的附加扭矩.为准确计算风致扭转变形,大跨度斜拉桥静风分析中必须考虑斜拉索锚固偏心效应.首先,基于锚固构件和斜拉索弹性变形协调关系,建立拉索锚固偏心距简化计算方法;继而提出考虑斜拉索锚固偏心效应的大跨度斜拉桥非线性静风扭转变形分析方法.以苏通大桥为例的数值分析结果表明:索-梁锚固偏心效应在主梁节点上引发的附加扭矩,与主梁自身气动升力矩之比在主梁跨中区域超 20% ;计入锚固偏心后,主梁跨中扭转位移在风攻角为 0° 和 3° 时,分别提高了67.7% 和 26.7% ,静风失稳临界风速分别降低 6.3% 和 3.0% .主梁扭转变形变化会进一步影响主梁的附加风攻角效应..
摘要:为评估在不同斜坡地形下光伏阵列所受的风荷载,采用风洞试验和CFD数值模拟研究其表面风压分布规律,及风向角、斜坡坡度和组件倾角对光伏阵列所受风荷载及组件间干扰效应的影响.研究表明: 0° 风向角下风压分布和平均风压系数最大,为最不利风向;随组件倾角增加,前排组件所受风压力增大,组件间的干扰效应增强,斜坡地形会减弱光伏阵列的遮挡效应;随坡度的增加,后排组件风荷载并未随接触风速的增大(后排组件的海拔高度不断增加)而增加,反而有所减小,当风荷载由风压力变为风吸力后才开始增加.通过CFD数值风洞对大型光伏阵列风荷载仿真发现,光伏阵列中纵向列之间的遮挡效应不明显,且斜坡地形会影响气流平均速度和湍流特性,
摘要:采用超薄玻璃对既有建筑外窗进行改造,研发了一种薄型三玻两腔中空玻璃,旨在通过优化玻璃厚度、调整低辐射涂层数量与位置、填充不同惰性气体等措施来研究其对薄型中空窗热工性能的影响.首先采用层次聚类与 K? -means聚类法对国际玻璃数据库(IGDB)的低辐射玻璃进行聚类,确定了7种典型类型.而后以既有外窗窗框结构为约束条件,提出了内置薄玻、改变低辐射涂层位置及种类、变更空腔填充介质等单一或组合改造策略.利用WINDOW、THERM、Optics软件计算了不同改造策略下薄型中空外窗的热工性能,并搭建了全尺寸实验平台对薄型中空窗的热工性能开展了实测研究.最后通过E-FAST敏感性分析方法量化了不同改造策略对热工参数的影响.结果表明,相较于低辐射中空窗,改造后的薄型中空窗的传热系数可降低 30.64% ;空腔填充介质和低辐射涂层种类是影响薄型中空窗热工性能的关键参数;相较于更换整窗的改造方式,使用薄型中空玻璃进行外窗改造的方式可降低 83% }87% 的材料成本.
摘要:针对固体废弃物资源化利用中存在的消纳量小、成本较高、工艺复杂等问题,提出一种消纳量大、成本较低、工艺简单的建筑保温材料制备方案.该方案以电解锰渣和粉煤灰两种固体废弃物作为硅铝酸盐原料,以水玻璃作为碱激发剂,采用双氧水发泡工艺,制备出保温、力学性能优异,且成本较低的材料.结果表明,水玻璃用量在一定范围内材料可以制备成型,且能够有效稳泡.电解锰渣的掺入量范围为 0%~60% ,推荐掺入量为 30% ,最高掺入量为 60% 业当电解锰渣掺入量为 30% 水玻璃用量为 355.4~465.4g, 双氧水用量为 8g, 稳泡剂用量为 2g 时,导热系数为 0.084~0.093W?m-1?K-1 ,抗压强度为 0.92~1.43MPa ,密度为 457~475kg?m-3 ,制备每立方米新型保温材料所需原料成本约为750元.与采用偏高岭土作为前驱材料,氢氧化钠和水玻璃作为碱激发剂的同类保温材料相比,新型建筑保温材料成本仅为其 24% 左右.此外,该新型建筑保温材料毒液浸出浓度低,对重金属有良好的固化作用.
摘要:为了实现大数据园区低碳、高效运行,构建了耦合光伏发电系统、自然冷却系统、余热回收系统和多种储能方式的综合能源系统.建立了综合能源系统能耗模型,针对模型非线性、多变量、多约束条件的特性,提出了基于遗传算法的滚动优化控制方法,以应对能源供需动态变化的问题.该方法以系统运行成本最低为目标,综合考虑峰谷电价、可再生能源出力特性、设备部分负载性能特性等因素,确定系统的最佳运行策略.将模拟结果与规则控制的结果对比可知,滚动优化可使系统运行费用降低 10.68%~12.63% .此外,选择了不同太阳辐射强度的场景进行研究,结果表明:光伏利用率的提升受蓄电池运行模式影响较大,通过调整系统运行参数能进一步提高系统光伏利用率.
摘要:为了提升隧道裂缝尺寸测量的精度和计算性能,提出一种基于中轴线多尺度特征融合的视觉测宽方法.首先,选取裂缝宽度作为研究对象,并对裂缝中轴线提取方法进行改进,提出了模板匹配策略以提高并行细化算法生成的中轴线像素精简率.其次,通过优化方向链码骨架分支去除方法,提升裂缝中轴线分支去除效果.最后,利用最小二乘法对中轴线进行曲线拟合,提出基于裂缝骨架中轴线多尺度方向特征融合的宽度测量方法,并基于互补金属氧化物半导体(complementary metal-oxide-semiconductor,CMOS)传感器视场角度计算实现裂缝像素宽度与实际裂缝宽度的换算.选取重庆巴南花溪隧道作为研究对象进行实例分析,实验结果表明:本文所提裂缝测宽法的平均像素绝对误差对比最大膨胀圆测宽法、最短路径测宽法、正交投影测宽法分别降低了9.89百分点、4.67百分点、15.61百分点.并且改进后裂缝中轴线提取方法的平均像素精简率较改进前提高了6.58百分点.同时在不同测量距离的裂缝测量实验中,验证了所提方法在不同测量距离下的自适应能力.
摘要:为提高大涡数值模拟(largeeddy simulation,LES)中生成格栅湍流风场效率,对一种LES湍流生成方法进行改进,在入口边界处设置虚拟格栅网获取网状射流,并将其成功应用于 Re=3900 的圆柱绕流模拟.结果表明:基于虚拟格栅生成的湍流风场具有各向同性特征,各湍流强度沿流向呈指数衰减趋势,湍流积分尺度沿流向呈线性增长趋势,且脉动风速功率谱与vonKarman谱吻合较好.此外,相较于均匀来流,湍流来流下圆柱的平均阻力系数减小,而阻力系数和升力系数的标准差均大幅增加,即湍流会加剧圆柱升阻力的脉动效应.来流湍流对圆柱表面的流动分离有抑制作用,可使分离点位置后移,导致回流长度和斯脱罗哈数减小,同时使尾流涡旋脱落不稳定、涡脱能量更强.
摘要:针对高原低气压、低湿度、低温和大温差等复杂环境对混凝土的加速劣化作用,高原地区混凝土气泡稳定性及引气效果、力学性能、收缩特性、抗冻性等备受关注,而相关研究现状尚待分析总结.本文首先对比分析了我国典型高原和平原城市的气压、温度和湿度等特点,进而综述了低气压、低湿度、大温差等关键环境因素对水泥基材料工作性能、微观结构、力学性能、收缩特性及抗冻性的影响规律,明确了水泥基材料在关键环境因素下的劣化程度及作用机理.